2019년 공무원(일반직,교사,소방,군인,경찰 등) 월급표 확인해보겠습니다.
▶ 공무원 월급은 모두 같나요?
같은 직렬인 경우 정해진 호봉에 맞게 계산되어 지급됩니다.
▶ 가장 높은 월급을 받는 직렬은 무엇인가요?
아무래도 교사가 가장 많은 월급을 받지 않을까요?
이 내용은 공무원 보수규정에서도 확인할 수 있습니다.

2019년 공무원(일반직,교사,소방,군인,경찰 등) 월급표
여러분은 공무원 월급이 얼마나 된다고 생각하시나요? 공무원은 단순히 월급만을 말하는게 아닌 여러가지 수당과 일명 철밥통이라는 정년을 보장받기 때문에 많은 사람들이 도전하는 분야인데요 공무원도 다 같은 월급을 받는 것은 아니며 어느공무원을 선택하느냐에 따라 월급이 달라질 수 있습니다.
예를들면 교사는 4년제 대학교 필수로 졸업해야 하며 학기당1호봉이 가산되어 총 8호봉이 가산되고 9호봉부터 시작을 하는 반면 일반 공무원은 군복무를 통해 최대 2호봉의 가산이 되며 그렇지 않은 이상 1호봉 부터 시작합니다. 그럼 실제 공무원 보수규정에 따른 월급은 얼마나 되는지 확인해보도록 하겠습니다.

- 일반직 공무원
가장 많이 지원한다는 일행(일반 행정직)공무원의 봉급표입니다.

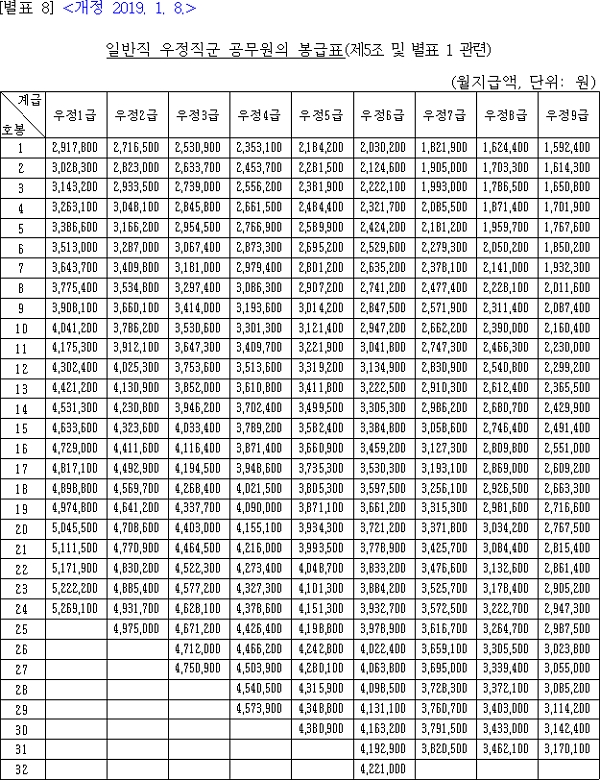
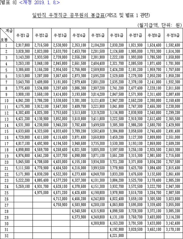
- 우정직 공무원
우정직 공무원 봉급표인데요 흔히 말하는 우체국에 종사하는 직원들의 봉급표라고 보시면 됩니다.

- 경찰공무원, 소방공무원
경찰 및 소방공무원의 봉급표입니다. 일반적인 공무원 신분이 아닌 경찰대학생 및 간부 후보생인 경우 월급을 차등적으로 적용받습니다.

- 교사
유치원 교사부터 초등학교,중학교,고등학교 교사의 봉급표인데요 대부분 교육대학을 나와 시작하기 때문에 다른 공무원과는 다르게 9호봉부터 시작하는게 일반적입니다. 기간제 교사의 경우 최대 14호봉의 제한이 있습니다.

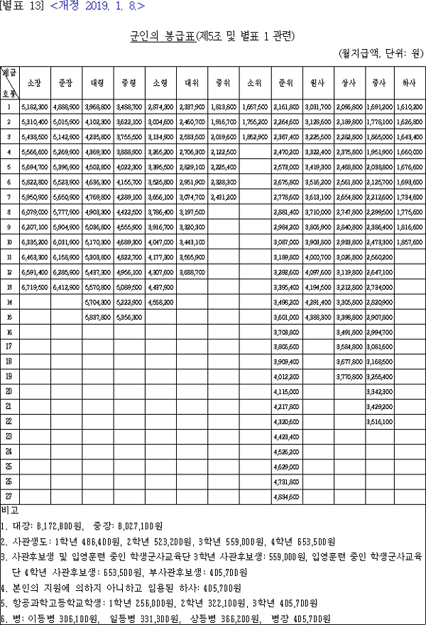
- 군인
군인 역시 공무원에서 속하며 상대적으로 공무원 중 가장 들어가기 쉽다고 할 수 있는데 들어가는 것은 쉽지만 장기신청은 쉽지 않다고 합니다.
2019년 공무원(일반직,교사,소방,군인,경찰 등) 월급표 간단하게 확인해보았습니다. 다른 직렬과 다르게 대학교 학력을 쳐주고 9호봉으로 시작하는 교사가 그나마 가장 낫다고 보여집니다.
'법' 카테고리의 다른 글
| 2019년 현재 연탄 1장(한장) 가격 얼마 (0) | 2019.07.24 |
|---|---|
| 공무원은 질병휴직(병가휴직)시 어느정도의 급여를 받을까 (0) | 2019.07.10 |
| 기간제 교사 월급(연봉) 및 호봉 계산 방법 (6) | 2019.07.04 |
| 다음 20대 대통령 선거일 언제일까 (0) | 2019.06.18 |
| 중고나라 미개봉 되팔렘(카드깡)은 불법일까 처벌 여부 (0) | 2019.05.28 |